bv伟德国际

公司公告

首页 - 公司公告 - 正文

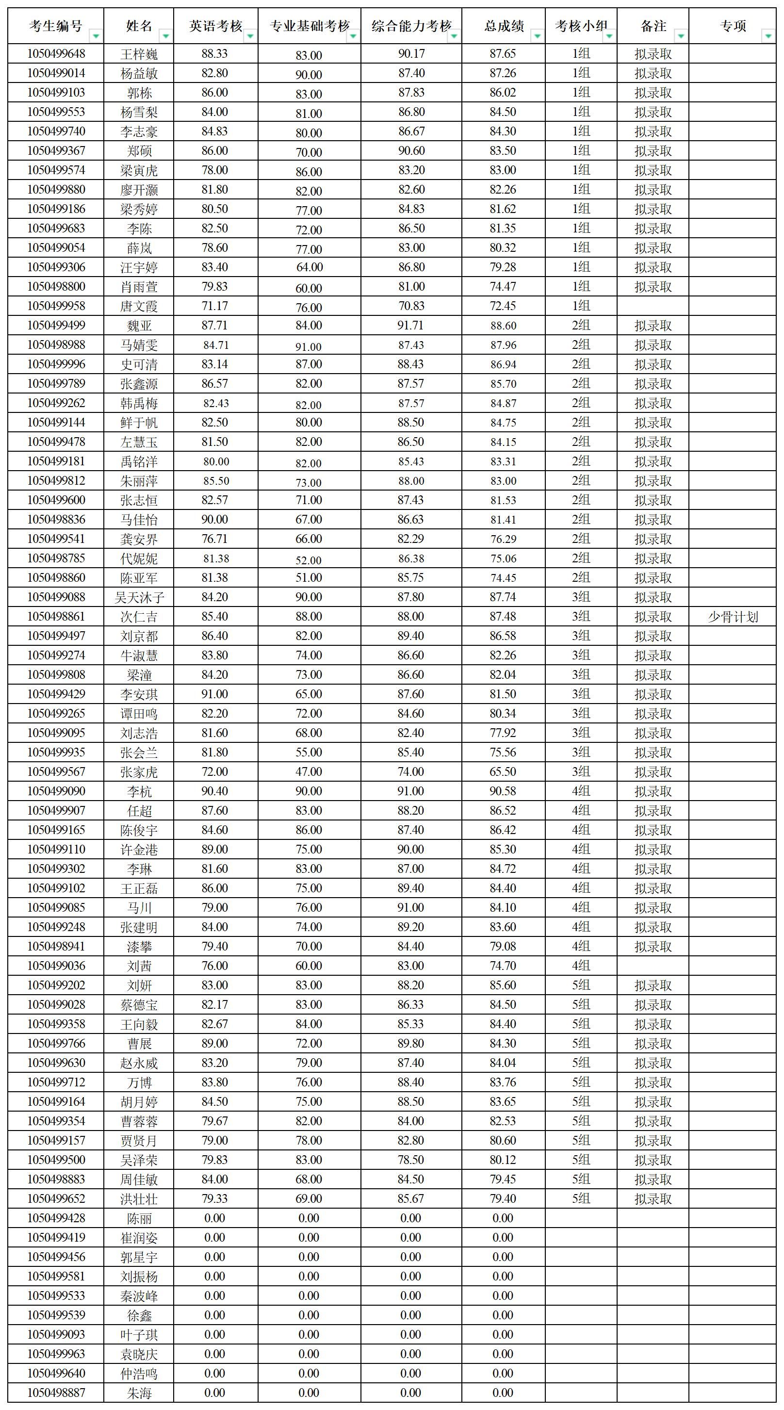
bv伟德国际19462025年“申请-考核”招收博士研究生成绩公示

来源:bv伟德国际1946 责任编辑:黄姗 发布:2025-05-19 点击量:



中国·湖北·武汉 南湖狮子山街一号430070 Tel:+86-27-87287308 E-mail:bio@mail.hzau.edu.cn

CopyRight © bv伟德国际(bv1946·源于英国)官方网站-Officials Website 版权所有